dampdiffusie en dampdiffusieweerstand (Z-waarde)
Dampdiffusie en dampdiffusieweerstand zijn termen uit de bouwfysica. Waterdamp gaat steeds van zones met een sterke concentratie aan damp (dus waar een hoge dampspanning heerst) naar zones met een minder hoge waterdampconcentratie.
Het verschil in dampdruk is het gevolg van een verschil in temperatuur of relatieve vochtigheid (RV) van de lucht aan weerszijden. Bijvoorbeeld poreuze materialen nemen vocht op "in evenwicht met" de relatieve vochtigheid van de lucht. Met "in evenwicht met" wordt bedoeld dat het enige tijd kan duren voor het poreuze materiaal de vochtigheid van de lucht heeft (die tegen die tijd wellicht weer veranderd is). Een hogere relatieve vochtigheid betekent een hoger vochtgehalte in het materiaal.
Wanneer het materiaal aan de ene zijde in aanraking is met lucht met een lagere dampdruk dan aan de andere zijde, bijvoorbeeld in een gevel of een dak, dan zal door het verschil in dampdruk waterdamp stromen door het materiaal. Dit verschijnsel heet waterdampdiffusie of dampdiffusie. Er ontstaat hierbij een (water)dampstroom.
Damptransport in materialen vindt plaats door de lucht in de poriën van dat materiaal. Aangezien de meeste muur- en dakconstructies bestaan uit meerdere lagen van verschillende materialen, zal de dampdiffusie per laag verschillen.
richting van de waterdamp (icedd):![]() |
De hoeveelheid damp die door een constructie wordt getransporteerd is afhankelijk van:
- de grootte van het verschil van dampdruk tussen beide zijden van de constructie
- de mate waarin de constructie weerstand biedt aan de diffusie.
Buildwise raadt bij houtskeletbouw (in zijn algemeenheid houtbouw) bij damptransport door diffusie aan: "idealiter zorgt men ervoor dat de waterdampdoorlatendheid van de verschillende samenstellende lagen van de wand stelselmatig oploopt van binnen naar buiten". (Zie dampopen bouwen.)
Het watertransport (damptransport) door de constructie ondervindt daarbij een zekere weerstand die afhankelijk is van het materiaal en de dikte daarvan. Deze dampdiffusieweerstand of dampweerstand wordt weergegeven door de zogenoemde µ-waarde (mu-waarde), een dimensieloos getal dat de verhouding weergeeft van de dampweerstand van dat materiaal ten opzichte van de dampweerstand van een laag lucht van dezelfde dikte. De µ-waarde van een materiaal geeft dus aan hoeveel keer de dampdiffusieweerstand van dit materiaal groter is dan die van een luchtlaag met dezelfde dikte, ook wel genoemd: (diffusie) equivalente-luchtlaagdikte.
Materialen zonder poriën hebben een oneindige dampdiffusieweerstand, bijvoorbeeld glas en staal.
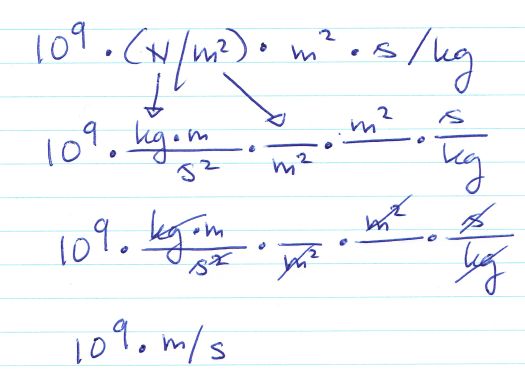
De dampdiffusieweerstand of Z-waarde Z = (µ*d) / (d lucht), waarin µ de dampdiffusiecoëfficiënt is (dampdiffusiegetal, dampremmingscoëfficiënt), d de dikte van de laag en d lucht = 0,185*10-9 s, waarmee Z wordt weergegeven door:
Z = 5,3*109 * µ * d met als eenheid m/s.
De Z-waarde wordt ook gegeven in GPa*m2*s/kg (bepaling1), mede door de uiteindelijke afkomst van de Z-waarde (bepaling2).
Hoe kleiner de µ-waarde hoe beter de dampdiffusie, d.w.z. des te sneller wordt de waterdamp afgevoerd. Een hoge µ-waarde is dus meer dampremmend of zelfs dampdicht.
Omdat de getallen van Z niet zo handig zijn (die 109 vooral) wordt niet de dampdiffusieweerstand maar de termen equivalente luchtlaagdikte of µd-waarde, Sd-waarde of relatieve vochtweerstand gehanteerd; dat zijn verschillende termen voor hetzelfde: de waarde µ * d, waarbij d de dikte van de laag is in meters. De eenheid van µd of Sd is dus ook meter.
Met de µd-waarde (Sd-waarde, sd-waarde) wordt de weerstand tegen waterdampdiffusie gekwantificeerd van een bepaalde laagdikte van een bepaald materiaal.
Een µd- of Sd-waarde van 150 m betekent dat het materiaal in de aangegeven dikte dezelfde dampdiffusie heeft als een laag lucht van 150 m (en is daarmee een duidelijke dampremmer); een dampopen materiaal heeft een Sd van bijvoorbeeld 0,04 m.
Er lijken geen exacte grenzen te zijn en het volgende is onzeker, maar:
- dampopen µd < 1 m (of liever nog wat kleiner)?
- dampremmend µd > 20 m?
- dampscherm µd > 100 m?
De µd-waarde is simpel gezegd te zien als het aantal meter lucht dat overeenkomt met het desbetreffende materiaal.
Hoe hoger de µd- of sd-waarde, hoe beter het materaal in staat is damp tegen te houden.
Bij de dampweerstand van een gelaagde constructie zonder dampscherm worden de waarden van µ*d van de afzonderlijke lagen opgeteld:
µ*d (constructie) = µ*d (e, d.w.z. overgang buiten) + µ*d (laag 1) + µ*d (laag 2) + ... + µ*d (laag n) + µ*d (i, d.w.z. overgang binnen), in meter.
De µ*d van de overgangen worden meestal weggelaten omdat die verwaarloosbaar zijn; zo ook de dampovergangsweerstanden Zi van 40*10^6 (binnen; i bij Z van interieur) en Ze van 7*10^6 (buiten; e bij Z van exterieur).
Voorbeelden van equivalente luchtlaagdikte (let op: Sd-waarde is een andere naam voor μd-waarde):
- lucht van 50 mm dik: lucht heeft een μ-waarde van 1 (per definitie immers), dus in dit geval een μd-waarde van 1* 0,05 = 0,05 m
- aerogel van 10 mm dik heeft een μd-waarde van 5 * 0,01 = 0,05 m
- Agepan DWD Protect mdf constructieplaat van 16 mm dik heeft een μd-waarde van 11 * 0,016 = 0,18 m
- asfalt van 100 mm dikte heeft een μd-waarde van 50.000 * 0,1 = 5.000 m
- baksteen van 100 mm dikte heeft een μd-waarde van 10 à 20 * 0,1 = 1,0 à 2,0 m
- bitumen (heet aangebracht) van 4 mm dikte heeft een μd-waarde van 50.000 * 0,004 = 200 m (koud aangebracht ca. 20 m)
- cellenbeton (variant C3) van 100 mm dik heeft een μd-waarde van 4 à 6, dus ca. 4 à 6 * 0,1 = 0,4 à 0,6 m (Febecel noemde 5 à 10 als μd-waarde, dus 0,5 à 1,0 m, afhankelijk van de volumieke massa)
- cellulose (bulk) van 200 mm dikte heeft een μd-waarde van 2 * 0,2 = 0,4 m (Cyclin-paneel 1,1 * 0,2 = ca. 0,2 m)
- CLT (kruislaags hout) van bijvoorbeeld 160 mm dikte heeft een μd-waarde van 20 à 50 * 0,16 = 3,2 à 8 m
- EPDM van 1 mm dikte heeft een μd-waarde van 40.000 * 0,001 = 40 m (de μ-waarde van EPDM wordt elders op 50.000 en op 70.000 gesteld, wellicht afhankelijk van de leverancier)
- EPS 35 (35 kg/m3) van 100 mm dik heeft een μd-waarde van 90 * 0,10 = 9,0 m
- gipsplaat van 12 mm dikte heeft een μd-waarde van 4 tot 10 * 0,012 = ca. 0,05 à 0,12 m (meestal 5 à 6, dus ca. 0,06 à 0,07 m)
- gipskartonplaat van 12 mm dikte heeft een μd-waarde van 13 * 0,012 = ca. 0,16 m
- glas, schuimglas (foamglas) en staal (en aluminium e.d.) hebben alle een μ-waarde oneindig dus ook een μd-waarde van oneindig (geen enkele dampdoorgang, volledig dampstoppend)
- glaswol van 100 mm dikte heeft een μd-waarde van 1 * 0,1 = 0,1 m
- hennepblok (IsoHemp e.d.) van 360 mm dik heeft een μd-waarde van 0,360*2,8 = 1 m
- hout van 100 mm dikte heeft een μd-waarde van 50 tot 200 * 0,1 = 5 à 20 m
- houtvezelplaat (isolatie) van 100 mm dikte heeft een μd-waarde van ca. 5 * 0,1 = ca. 0,5 m (houtvezelplaat Agepan DWD protect van 16 mm dikte heeft een μd-waarde van 11 * 0,016 = 0,18 m en wordt dampopen genoemd)
- kalkzandsteen van 100 mm dikte heeft een μd-waarde van 25 * 0,1 = 2,5 m
- Keim Purkristalat gevelverf heeft een μd-waarde van 0,01 m dus zeer dampopen
- kurk (geëxpandeerd) heeft een μ-waarde van 5 à 30
- leemplaat (Lemix) van 22 mm dikte heeft een μ-waarde van 5 à 10 * 0,022 = 0,11 à 0,22 m
- linoleum van 2,5 mm dikte heeft een μd-waarde van 1800 * 0,0025 = ca. 4,5 m
- multiplex van 500 kg/m3 en 18 mm dikte heeft een μd-waarde van 200 * 0,018 = 3,6 m (let op: er zijn veel soorten multiplex, variërend van µ < 50 tot ca. 200, afhankelijk van materiaal, opbouw, soort lijm e.d.; de zwaardere soorten hebben meestal een hogere µ)
- OSB van 12 mm heeft een μ-waarde van 30 tot 170 en een μd-waarde van 30 tot 170 * 0,012 = ca. 0,4 à 2,0 m (Elka ESB, een speciaal type OSM, heeft een μ-waarde van 80 en bij een dikte van 16 mm een μd-waarde van 80 * 0,016 = ca. 1,3)
- PE-folie van 0,2 mm dikte (= 0,0002 m) met een μ-waarde van 100.000 heeft een μd-waarde van 20 m
- pleisterlaag (cementpleister) van 10 mm dikte met een μd-waarde van 17 * 0,01 m = 0,17 m
- pleisterlaag (kalkpleister) van 10 mm dikte met een μd-waarde van 11 * 0,01 m = 0,11 m
- pleisterlaag (gipspleister) van 10 mm dikte met een μd-waarde van 6 * 0,01 m = 0,06 m
- PUR bij 100 mm dikte heeft een μd-waarde van 50 à 185 * 0,1 = 5 à 19 m
- PVC van 2 mm dikte heeft een μd-waarde van 20.000 * 0,002 = 40 m
- rietvezelplaat of strovezelplaat van 50 mm dikte hebben een μd-waarde van 3 * 0,05 m = 0,15 m
- rubber heeft een μ-waarde van 9000
- schapenwol van 100 mm dikte heeft een μd-waarde van 4 à 5 * 0,1 = 0,4 à 0,5 m
- steenwol van 100 mm dikte heeft een μd-waarde van 1 à 5 * 0,1 = 0,1 à 0,5 m
- XPS van 100 mm dikte heeft een μd-waarde van 150 à 300 * 0,1 = 15 à 30 m
- zandsteen van 100 mm dikte heeft een μd-waarde van 10 * 0,1 = 1 m
Dampdiffusie, isolatie, ventilatie en condensatie (bron o.m. Joes van Asten, van Mul BV ontwerpers en adviseurs)
- "Vocht wordt in een woning in grote hoeveelheden geproduceerd (in de orde van grootte van 10 liter per dag, afhankelijk van o.m. het aantal personen). Deze hoeveelheden zijn alleen d.m.v. ventilatie uit een woning te verwijderen, m.a.w.: ventilatie moet!
- Isolatie in de constructie is bedoeld om verliezen door warmtetransmissie te beperken. Hoge Rc-waarden leiden tot minder warmteverliezen en dus minder energieverbruik.
- Vocht in een woning zal zijn weg gaan zoeken naar een plek met een lagere luchtvochtigheid (dampdiffusie). Een dampremmende folie aan de warme zijde is noodzakelijk om het vocht te weren uit de constructie en uit de isolatie. Omdat een dampremmende folie regelmatig wordt onderbroken voor bijvoorbeeld doorvoeringen zal er op die plekken toch vochtige lucht de constructie en de isolatie binnen 'lekken' en mogelijk afkoelen en condenseren. Om schade zoals houtrot in de constructie te voorkomen dient die condens naar buiten toe te worden afgevoerd: de constructie aan de buitenzijde dient daarom waterwerend maar dampdoorlatend te worden uitgevoerd."
- Om het opsluiten van vocht in de constructie van dak of gevel te vermijden kan een klimaatfolie worden toegepast, bijvoorbeeld bij na-isolatie van een dak aan de binnenzijde van de woning. Een klimaatfolie is zowel dampopen als dampremmend: de zelfregulerende folie varieert het dampremmende karakter afhankelijk van de luchtvochtigheid en temperatuur (relatieve vochtigheid) van de ruimte en past zijn dampdiffusie daartoe automatisch aan het seizoen aan. Een klimaatfolie kan daarmee schimmel en rot van de constructie vermijden. Zorg ervoor dat er tussen klimaatfolie en kamer (woonzijde) alleen dampopen materialen zijn én doorboor de klimaatfolie niet nadat de gipsplaten zijn aangebracht.
![]() |
diffusieweerstandsgetallen (μ) en berekeningen equivalente luchtlaagdikte (μd) van een aantal bouwmaterialen (uit "wind- en luchtdicht, dampopen en koudebrugvrij isoleren", van isoproc) ![]() |
Doorlatendheid van CO2
Bij de diffusie kan worden aangegeven waarvoor de doorlatendheid geldt: voor H2O of CO2. Bij beton is bijvoorbeeld voor betonverf een lage doorlatendheid voor CO2 belangrijk, omdat CO2 voor carbonatatie van beton zorgt: de pH daalt soms tot onder de 9 waardoor corrosie van de wapening optreedt, het beton kan gaan barsten en betonrot kan ontstaan.
Documentatie
- Wind- en luchtdicht, dampopen en koudebrugvrij isoleren (van Isoproc)
"Vochttransport (damptransport) als gevolg van luchtstroming, bijvoorbeeld door luchtlekken in het isolatiemateriaal, wordt convectief vochttransport genoemd. De hoeveelheid vocht die door deze lekken in de constructie komt, is vaak vele malen groter dan het vocht dat door diffusie door de materialen treedt." Een reden te meer om luchtlekken te vermijden.
Berekeningen m.b.t. dampdiffusie kunnen worden uitgevoerd in programma's als Glaser, Match, Wufi en Glasta.
De term diffusie is afkomstig van het Latijnse diffundere (verstrooien, uitstromen), van dis (uit elkaar, in welke richting) en fundere (gieten).
Met dank aan ir. F. Vink, Rockwool, Stybenex, ICEDD en Roofs.
Zie ook dampstroomdichtheid, dampspanningsdeling, relatieve vochtigheid, dampopen bouwen, dampscherm, dauwpunt, luchtdicht bouwen.
Zie bijvoorbeeld MG Meuwissen Gerritsen Isolatie.
Eng. vapour/vapor (Am.) diffusion resistance factor


